自らを「MOTORCYCLES TAILORING」と称するイタリアのカスタムビルダー、Frank Augello氏が営むガレージ「Moto Sumisura」をご紹介します。モーターサイクルの"テーラー"「Moto Sumisura」で扱うバイクは、BMW。彼の作品...
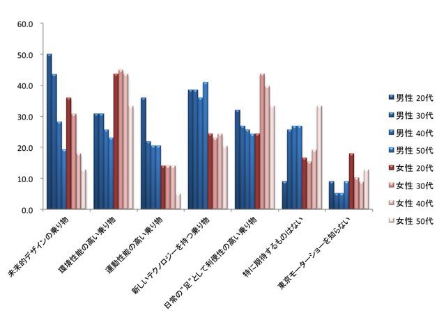
【ヤマハ】「未来の乗り物」調査に男女624名が回答ヤマハ発動機は同社「TRICITY LMW部」の調査結果として、20代〜50代の一般男女624名を対象とした「未来の乗り物」に関するアンケート結果を発表news.bikebros.co.jp
Hondaが送る、ほのぼのコンテンツ、ホンタマ先生の原付指南こんにちは、ゲンツキ指南役のホンタマです。今回はフロアステップの巻です。気まぐれなホンタマ先生の活躍をぜひ、お楽しみください。www.honda.co.jp
YZF-R1用フェンダーレスキット&ウィンカーセット発売深海スポーツからYZF-R1用フェンダーレスキット&Fineセットが新発売したnews.bikebros.co.jp
Ks-STYLEからニンジャ1000用カスタムシート新発売ケイズスタイルがニンジャ1000用カスタムシートを発売したnews.bikebros.co.jp
イタルジェット(Italjet Moto )は、1959年にデザイナーであり設計者のレオポルド・タルタリーニによって設立された、イタリア・ボローニャ県カステル・サン・ピエトロ・テルメに本社のあるオートバイメーカー。主に小型オフロード車やスクーターなど、小排気量車の生産を中心...
車ファンの中に「アメ車好き!」という方は結構多いのではないでしょうか??www.cruisincaskets.comカリフォルニア州にある葬儀サービスの関連会社Cruisin Casketsが製作しているこちらは、車ではなく、なんと 「棺桶」 なのです!www.cru...
森田剛、初主演映画『ヒメアノ~ル』が【R15+】指定へ限界突破、狂気の凶悪殺人犯が誕生!!「行け!稲中卓球部」「ヒミズ」の人気漫画家・古谷実のベストセラーコミック 『ヒメアノ〜ル』 を『銀の匙』の吉田恵輔が映画化される!!原作は、世の不条理、屈折した感情、恋愛、友情、ポ...
『MOTO NAVI』Vol.79(2015年10月24日)雑誌『MOTO NAVI』のVol.79が2015年10月24日に発売されたnews.bikebros.co.jp
KYB、スーパースポーツ用倒立フロントフォークを開発...カワサキ Ninja H2 に採用response.jp
『Young Machine』12月号(2015年10月24日発売)雑誌『ヤングマシン』の12月号が2015年10月24日に発売されたnews.bikebros.co.jp
【東京モーターショー15】カワサキ、新型 ZX-10R ABS など3機種を日本初公開response.jp